电桥是如何提高采样的精度?

技术漫谈8个月前更新 阿轩
1,218 00

Clip_2024-12-13_20-19-22

上一篇文章中简单介绍了下惠斯通电桥的原理和使用,但是并没有弄清楚,惠斯通电桥相对于普通的电阻测量来说,是如何提高精度的,下面,我准备理论计算一下,来进一步证明惠斯通单桥的牛逼之处。

首先,我们先假设使用传统的方式来对可变电阻进行测量。

image.png

上图中,对应变计进行测量的方式就类似于我们的分压电阻测量电压,只不过此时我们的VCC是已知的,固定的,我们采用恒压模式来推理,比如这里我们使用6V,其实分压就是一个半桥。

Clip_2024-12-13_19-29-27.webp

如上图所示,当我们的应变计因为变形而产生一个电组变化△R 时,Vout 也会相应的变化。我们假设这里的 V 为 6V,R 为 3KΩ,△R 为 3Ω。那么可以计算一下,Vout 输出为3.0015V。同时可以计算出 R 上面的电阻为VR = 2.9985V,而 V(△R)上面分得的电压为0.003V。

以上,虽然我们可以轻易的计算出 3mV 的分压,但是想测量到它却不是那么容易。比如我们使用一个 4 位的万用表,它就会产生舍入误差。

比如:对于3.0015 进位后为 3.002V,对于 2.9985 退位后则为 2.998V,这样计算出来的△R 的电压也就是变成了 4mV。如果刚才的两个数字换个方向舍入,那么最后测算出来的△R的电压就变成了 2mV。

那么问题就来了,由于万用表精度问题,我们的测量误差会达到±33%之高。

Clip_2024-12-13_19-46-52.webp

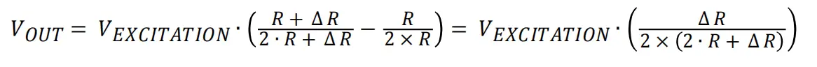
接下来,引入惠斯通电桥全桥来测量差分信号。使用上面同样的参数值,我们根据公式计算一下△R 的分压。

Clip_2024-12-13_19-48-09.webp

Vout 现在的计算结果为1.49925mV。这里,如果使用相同的 4 位数字万用表,可以更精确地测量 Vout 的毫伏刻度读数为 1.499mV(向下舍入)或 1.500mV(向上舍入)。

差分测量的电桥配置中,Vout 由于精度问题产生的误差仅仅为 1uV,相对于 1.5mV 的测量电压,其误差仅仅为0.067% 。

之所以能得到这样的结果,是因为电桥配置支持直接测量 ΔR 而不是 ΔR 和 R 之和的分压。直接测量△R,还可以放大 Vout 使 ADC 获得更大的输入信号。通过进行放大,可以对更小的 ΔR 值进行更高分辨率的测量,比如利用 sigma-delta ADC 可以 做到 32bit 的分辨率测量。

当然,大部分这样的 ADC 都是集成了运放和 ADC 的,比如 TI 的ADS1220

Clip_2024-12-13_20-03-20.webp

目前,24bit 的这种 ADC,能够做到几 K 采样率的基本都是 ADI 和 TI 的东西。32bit 的高速 ADC 更是只能使用国外的。

如果大家有国产的,32bit ,采样频率达到 10Khz以上的,评论区推荐下哈。

© 版权声明

相关文章

没有相关内容!

暂无评论

none
暂无评论...