电桥怎么接?

技术漫谈4个月前更新 阿轩
1,280 0 0

PixPin_2024-12-17_20-12-48

我们使用 4 个电阻来组成一个电桥,但是不一定都是检测四个电阻,今天先来了解一下不同的电桥接线方式,都有哪些不同点。

先看一下 四分之一桥的测量。

Clip_2024-12-17_19-47-31.webp

如上图中所示,我们在电桥中只接入一个可变电阻作为测量传感器,这是,通过分压可以计算出 Vout 的计算公式:

Clip_2024-12-17_19-48-26.webp

我们化简这个公式之后

Clip_2024-12-17_19-48-56.webp

从上面的公式中可以看出,Vout 的输出只是近似的和△R 成正比,但是由于分母是 2*R + △R,因此这里并不是线性的,假如△R << R,那么我们可以近似的认为他们是线性的关系。因此分母中△R 的占比重这部分,可以称为电桥电路的固有非线性度。

如何进一步减小这个固有非线性度呢?

我们可以把原来的电压激励改为恒流激励,如下图所示的链接图

Clip_2024-12-17_19-46-05.webp

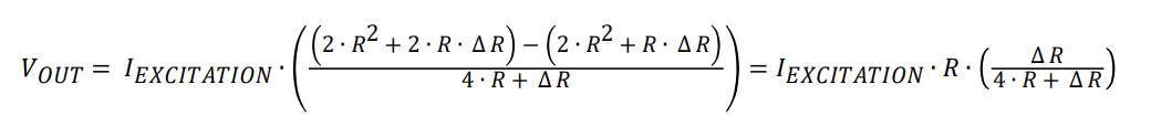
根据上图的恒流激励来计算 Vout 的电压,其公式如下:

Clip_2024-12-17_19-54-34.webp

从最后化简的公式来看,分母部分同电压激励的公式有所不同,2R 变成了 4R,其实相当于整体扩大了 2 倍,也就是相对的,△R 降低了 2 倍。这样的拓扑结构也就可以将固有非线性度降低 1/2。

上面的是四分之一桥的情况,还有半桥链接的情况:

Clip_2024-12-17_19-57-16.webp

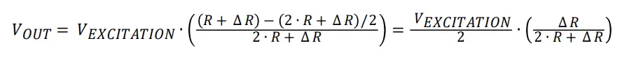
半桥链接电路中,我们将变化方向相同的两个可变电阻传感器布置在对角的两个之路上,相同的分压原理,我们可以计算出如下比例公式:

Clip_2024-12-17_19-58-46.webp

从公式中可以看出,它和四分之一电桥相同,都存在一个固有的非线性度,因为公式中的分母部分依然存在一个△R。

相同的,我们将电压激励改为恒流激励也可以将固有的非线性度降低 1/2。

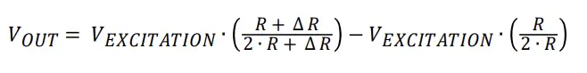
不同的是,这里的比例系数扩大了 2 倍,这里的原因就是上下两个可变电阻的变化方向相同,因此变化量增大了一倍,这将导致我们的 Vout 输出也会扩大一倍,更大的输出信号使得我们的动态范围加倍,更好的实现 ADC 测量。

同理,如果我们将两个可变电阻放置在桥的同一侧,事情将出现一些改变。

Clip_2024-12-17_20-04-43.webp

上图的计算公式:

Clip_2024-12-17_20-05-11.webp

可以看到,如果将两个可变电阻布置在电桥的同一支路中,简化公式的分母中没有△R 这一项,因此这样的拓扑结构就没有了固有的非线性度。无论电压激励还是恒流激励都是如此。当然,这里肯定还是会包括传感器实际的一些生产工艺特性方面的非线性度。

接下来看一下全桥电路:

Clip_2024-12-17_20-07-58.webp

Clip_2024-12-17_20-08-19.webp

从简化公式可知,此时的 Vout 和△R 恰好成正比。四个可变电阻传感器组成的电桥的优势在于,它的灵敏度是半桥电路的两倍,是四分之一桥的 4 倍。另外,全桥电路中不存在固有的非线性度。

© 版权声明

相关文章

没有相关内容!

暂无评论

none
暂无评论...