什么是惠斯通电桥?为什么用惠斯通电桥测量应变片?

技术漫谈4个月前更新 阿轩
1,458 0 0

1327d0b8-6dd1-4914-b008-7e2ad327e465

在我的上一篇文章中,我记录了关于应变片的很多原理和参数,但是,对于应变片如何使用,如何测量并没有了深入的探究,今天先来看一看,对于应变片,我们应当如何使用。

首先,已经确定的是,应变片作为一个传感器,我们主要是使用他的阻值变化特性,因此我们需要对应变片的电阻进行测量。实际上,在电子检测中,电阻是无法被直接测量的,通常我们使用的ADC都是去测量电压,对于应变片也不例外。

之前,我在BMS的文章中记录过BMS母线电流的检测,当时是利用的检流电阻来测量电量,也就是说,已知检流电阻值R,测量R两端的电压来确定电阻R上面流过的电流。

利用上面的原理,我们可以猜测到,如果我们使得应变片上流过固定的电流I,那么,测定应变片两端的电压,就可以推算出应变片的阻值R。

Clip_2024-12-08_23-28-26.webp

如上图,使用恒流源提供给应变片一个激励,我们就可以通过deltaV来计算应变片的电阻值了。但是,这有些问题,那就是我们忽略了应变片的可变范围,它的阻值变化范围非常小,一般在0.1% ~ 0.5%之间。 假设我们选择的应变片的阻值变化范围为0.2%,我们选择了一个500R的应变片,也就是说,我们的应变片的阻值变化幅度为500 * 0.002,也就是1R。

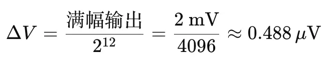
这意味着什么呢? 意味着我们需要检测的范围是1R,假设激励电压是1V,检测的电压范围就是2mV。 假设现在要求我们的ADC是12bit的分辨率,要达到这个分辨率,就得把2mV进行4096各等分,精度就要达到

Clip_2024-12-08_23-53-51.webp

0.488uV意味着,我们需要分辨出0.488ppm,百万分之一还不到。

再加上应变片本身的材料随温度的变化而变化,金属件本身随温度变化还有个绷胀系数,怎么测的准确呢?

这就不得不提出惠斯通电桥的概念。

image.png

上面这个图就是惠斯通电桥的典型图示,乍一看跟整流桥很像,但是八竿子打不着哈。

在上面的图中,Ve是激励电压,Vo+和Vo-是一对差分信号。R1 ~ R4是可以接应变片的地方。是的,我们可以接四个应变片,典型的场景可以映射到我们的体重秤,一般正好是4个接触点。

Clip_2024-12-09_00-00-35.webp

简单的定性分析惠斯通电桥可以这样理解,如果R1=R2=R3=R4 。Ve给定电压是5V,那么Vo-和Vo+都是2.5V,压差为0。如果R4减小,R3增大,那么Vo-电压就会上升。同时R1增大,R2减小则Vo+就会降低,最终的输出的压差就会变大。继续推理一下就能明白,最终的压差可以是4个电阻变化的叠加值。

这样一来,原来每个应变片很小的变化范围,一下子就被放大了四倍。

这还不是最重要的,最重要的是,每个应变片的温飘可以被消除掉,每个金属件的膨胀系数也会被消除掉。举个栗子,R3和R4上面的电阻温飘和金属件的膨胀方向是同时变大变小,这并不想影响Vo-的电压变化。

这就是我们使用惠斯通电桥来测量应变片的根本原因。

我之前在平衡车上的应用就在这里出现了一点小问题,我选用了垂直方向的应变计,贴在了一个变形的位置上,变形的方向导致纵向应变计和横向应变计的变化是相同的,也就是要么同时变大,要么同时变小。与此同时,我在惠斯通电桥上面的链接也出现了问题,把这两个应变计链接宰了R3和R4的位置。这导致的最终结果是,检测到变形的量缩小了。

Clip_2024-12-09_00-18-35.webp

又因为车体本身优先考虑功能的结构特性,对于变形量和变形方向的分析都没有认真分析,导致在软件算法上处理起来很费劲,时长出现不灵敏的时候。所以说,做产品还得做到足够细致,即便是从工程出发,也要求尽到理论基础上来作为验证。

所以,我们可以简单的做个惠斯通电桥的应用说明,假设如下的测力环境下:

Clip_2024-12-09_00-25-44.webp

如果我们从顶端和底端分别贴应变片R1和R2来提高测量的精度,那么这两个应变片的链接方式一定是在同一个板桥上,因为他们的变化方向相反。

今天线写到这里,后面继续展开应变片的4线链接和6线连接法,以及如何设计激励电源和ADC的参考电源的内容。

© 版权声明

相关文章

没有相关内容!

暂无评论

none
暂无评论...