低边电流采样的计算

电路进阶4个月前更新 阿轩
1,144 0 0

很多电路设计中都需要用到电流数据,而对于采样电流的方法有很多,比如使用互感器或者霍尔效应来做,要说最便宜的的方式,那肯定还是得使用检流电阻做采样。

那么,要检测一个回路的电流,我们应该把检流电阻放在哪里呢?

image.png

这里如上图的回路简图中可以想到,起码有两个位置可以让我们选择,如果选择上面设计见留电组,在布局布线上会省很多事情,因为不必考虑R上过大电流会影响地平面问题。不过,高边的检流电阻需要配合运放要能够承受足够高的共模电压输入,显然不是明智之举。

低边设计,这是离低成本更近的一条路,检流电阻设计在低边,使用运放对电阻两端的电压进行放大,低边的电压就不要求运放具备很高的共模电压耐受,运放的选择会容易很多。

如何精确的设计一个这样的低边电流采样电路呢?

image.png

上图是一个典型的低边电流采样设计图,其中Rshunt作为检流电阻,运放则对检流电阻两端的电压进行差分放大,运放的供电电源为5V,差分输入端因为在电路的低边,不会有很大的共模电压引入。 Vos是运放的失调电压,这个会影响我们的精度。

设计初期,我们需要确定那些需求?

首先,我们要设定我们的检流范围,这里我们假设是30 ~ 50A。

其次,我们需要确定检测电流的精度,这里我们确定为5%吧。

设计步骤及推算

1. 先讨论最简单的检流电阻的选择

电流采样的原理在于,流过检流电阻的电流将在电阻两端产生电压,我们已知检流电阻阻值,必然可以计算出电压。

image

同时,为了让低边检流电阻的电压足够小,布置于影响地平面,这里的低边电流检测电阻应越小越好,不过,太小也不行,最大电流产生不了足够的电压进行采样。

目前市面上的金属检流电阻通常有5mR 2mR 和1mR,这里我们可以选择1mR作为检流电阻。因此设Rshunt = 1mR,若要检测50A电流,此电流会在电阻上产生50mV的电压。

这里首先要注意的就是检流电阻的功率,通过P = U*I可以计算出,电阻的最大峰值功率为50mV * 50A = 2.5W,这里降额设计,我们可以选择功率为4W的检流电阻。

2. 运放的增益

通常,我们的数字电路设计为3.3V,那么我们希望最大的电流检测范围转换为电压信号后为0-3.3V。这样来设计的,我们可以确定,运放的放大倍数为60倍。因为:

3300mV / 50mV 约等于 60

这样,我们先设定R1为2K,根据运放的增益公式,Gain = R2/R1 = 60,可以推算出R2使用120K最为合适。

同时,这里要注意增益电阻的公差和温漂参数,这两个参数会直接影响到最后电流的输出精度,这里我们先选择0.5%精度的分压电阻。

3. 运放的输入偏移电压

通常情况下,运放并不是理想的,运算放大器的输入偏移电压会影响到最终的电流采样精度,所以我们应该选择偏移电压在什么范围内的呢?

这里可以通过整个电路的误差计算来得到一个范围。

首先我们假设理想情况下的电路参数

image

这里输入输出关系就是按照理论计算而来,对于运放和电阻都是理想情况下,没有考虑公差。那么假设在最大电流复杂情况下,公式中替换成实际数值为:

Vo = 50A1mR(120K/2K) = 3V。

如果我们要求电流在最糟糕的情况下满足误差不超过5%。那么需要满足如下公式

image

此时Err = (Vo’ – 3)/3*100 = 5 ,由此计算出Vo’ 应该为3.15V,也就是说,考虑到所有电阻的误差和温漂,以及运放的偏移电压之后,在最大电流的情况下,我们的输出电压不能够超过3.15V。

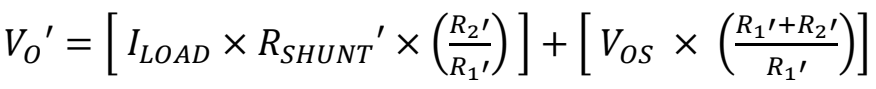
整个放大系统在考虑误差的情况下,其Vo’为:

image

注意:偏移电压的放大方式为非反向放大器,因此其增益为1+ R2/R1。

公式中的带’的符号都为考虑了误差之后的值,因此我们需要先把这些误差计算出来。

△R1= [(公差) + (温度特性)] x R1 = [(-0.5%) + (-50ppm/℃)] x R1

△R2= [(公差) + (温度特性)] x R2 = [(+0.5%) + (+50ppm/℃)] x R2

△Rshunt= [(公差) x (温度特性)] x Rshunt = [(+1%) + (+100ppm/℃)] x Rshunt

解释一下,这里的公差基本确定,我们选择的分压电阻为0.5%的精度,检流电阻的公差为1%的精度。

公式中为什么会有正负公差呢?这是因为我们要考虑罪恶里环境的情况,万一R1和R2的公差正好相反呢?不过温度漂移一般是相同的,这里权且按照同样的相反计算

什么叫最恶劣?温度不搞到125°肯定是不够的,因此我们最后有一个温漂的误差。所以这里125度下的温漂也应该计算进去。

如果R1 = 2K,R2 = 120K 那么,相应的正负偏差可以计算出来:

△R1= [(公差) + (温度特性)] x R1 = [(-0.5%) + (-50ppm/℃)] x R1
= 【-0.005 + -0.005】* 2KR = 20R

△R2= [(公差) + (温度特性)] x R2 = [(+0.5%) + (+50ppm/℃)] x R2
= 【0.005 + 0.005】* 120KR = 1.2KR

△Rshunt = [(公差) x (温度特性)] x Rshunt = [(+1%) + (+100ppm/℃)] x Rshunt
= 【0.01 + 0.01】* 1mR = 0.02mR

我们把上述误差带入到考虑公差的式子中,就可以求出Vos的值了。

image

简单带入一下:3.15 = [50A1.02mR(121.2/1.98)] + [Vos*((121.2+1.98)/1.98)]

此时,我们可以确定,如果保证Vo’ < 3.15V ,则Vos < 466uV。

这样,对用户我们选择运放就有了一个标准,也就是需要运放的偏移电压小于500uV吧,当然有时候运放没有这么好,那就牺牲一点点的电流精度吧。

© 版权声明

相关文章

没有相关内容!

暂无评论

none
暂无评论...