一、传输线阻抗匹配的基础概念
在电子通信与高速数字电路领域,传输线是信号传输的核心载体。然而,当信号在传输线中传播时,若传输线的特性阻抗与源阻抗、负载阻抗不匹配,就会引发信号反射现象。信号反射会导致信号波形失真、传输损耗增加,严重影响通信质量与电路性能,这便是传输线阻抗匹配问题产生的根源。

传输线阻抗匹配的本质,是通过各种技术手段,使得传输线的特性阻抗与源阻抗、负载阻抗达到某种平衡状态,从而最大程度地减少信号反射,实现信号的高效、无失真传输。从能量角度看,阻抗匹配意味着信号源的能量能够最大限度地传输到负载,而不会在传输线中产生反射损耗。
二、传输线阻抗的理论基础
(一)传输线的特性阻抗 Z0
传输线的特性阻抗 Z0 是传输线的固有属性,它取决于传输线的几何结构(如导线的直径、间距、绝缘介质等)和材料参数(如介电常数、磁导率等)。
均匀传输线的特性阻抗公式
对于均匀传输线,特性阻抗的计算公式为:

其中:
- R:单位长度传输线的电阻
- L:单位长度传输线的电感
- G:单位长度传输线的电导
- C:单位长度传输线的电容
- ω:角频率(ω = 2πf,f为工作频率)
高频情况下的简化
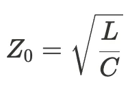
在高频情况下(通常当信号频率较高,使得 ω L >> R 且 ω C >> G 时),传输线可近似为无耗传输线,此时特性阻抗公式简化为:

这表明,无耗传输线的特性阻抗仅由单位长度的电感和电容决定,与频率无关。
关键点总结
- 特性阻抗的物理意义:由传输线的几何结构和材料参数决定。
- 高频简化条件:ω L >> R 且 ω C >> G。
- 无耗传输线的特性阻抗:仅与 L 和 C 有关。
(二)反射系数与驻波比
为了量化阻抗不匹配导致的信号反射程度,引入反射系数 Γ 和驻波比(VSWR,Voltage Standing Wave Ratio)的概念。
反射系数 Γ 定义为反射波电压与入射波电压的比值,对于传输线终端接负载阻抗 ZL的情况,反射系数为:

反射系数的模值 Γ 越大,说明反射越严重;当 | Γ | = 0时,意味着阻抗完全匹配,无反射。
驻波比 VSWR 则反映了传输线上电压的最大幅值与最小幅值之比,其与反射系数的关系为:

理想的阻抗匹配状态下,VSWR = 1;VSWR 越大,阻抗不匹配程度越高。
三、阻抗匹配的方法与分类
(一)阻抗匹配的分类
根据匹配网络的位置和作用,阻抗匹配可分为源端匹配、负载端匹配和传输线中间匹配等。源端匹配主要是使信号源的输出阻抗与传输线特性阻抗匹配;负载端匹配则是让传输线特性阻抗与负载阻抗匹配;传输线中间匹配常用于长距离传输或复杂网络中,对传输线进行分段匹配。
(二)集总参数元件匹配网络
在高频和高速电路中,常用集总参数元件(电感、电容)来构建匹配网络,因为它们体积小、易于集成。常见的集总参数匹配网络有 L 型、T 型和 π 型等,其中 L 型匹配网络结构简单,应用广泛,下面以 L 型匹配网络为例进行说明。
四、L 型匹配网络的设计与计算(以实例展开)

(一)设计需求背景
假设我们有一个高速传输系统,源阻抗 Rs= 50Ω,负载阻抗 RL = 300Ω,工作频率 f = 100MHz。由于源阻抗与负载阻抗差异较大,直接连接会产生严重的信号反射,因此需要设计 L 型匹配网络,通过串联电感和并联电容来实现阻抗匹配。
(二)关键参数计算
1. 串联电感的感抗 XL
在 L 型匹配网络中,串联电感的感抗 XL可通过品质因数 Q 和源阻抗 Rs计算,公式为:

这里我们选取品质因数 Q = 2.236(品质因数的选取需综合考虑匹配效果、带宽等因素,不同应用场景下 Q 值有所不同),将 Rs = 50Ω代入公式:

2. 并联电容的容抗 Xc
并联电容的容抗 Xc 由负载阻抗 RL 和品质因数 Q 决定,公式为:

把 RL = 300Ω,Q = 2.236 代入可得:

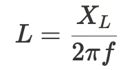
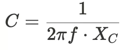
3. 电感 L 与电容 C 的取值
结合工作频率 f = 100MHz,角频率 ω = 2πf,进一步计算电感和电容的具体数值。
- 电感 L:由感抗的计算公式 XL = ωL(ω = 2πf),可得电感 L 的计算公式:

将 XL ≈ 111.8Ω,f = 100 × 106 Hz 代入:

- 电容 C:由容抗的计算公式 Xc = 1 / ωC(ω = 2πf),变形可得电容 C 的计算公式:

把 Xc ≈ 134.2Ω,f = 100 × 106 Hz 代入:

(三)匹配原理与能量传输
通过上述计算得到的电感 L ≈ 178nH 和电容 C ≈ 11.8pF 构建 L 型匹配网络后,源阻抗和负载阻抗在功率意义上实现了阻抗匹配。此时,多余的信号反射能量会在电容和电感之间来回震荡,从而使信号源的能量能够最大限度地传输到负载,减少了信号在传输线中的反射损耗,保证了高速信号传输的质量。
五、阻抗匹配的实际应用与挑战
(一)实际应用场景
传输线阻抗匹配在众多领域都有广泛应用。在射频通信系统中,发射机与天线之间的阻抗匹配至关重要,它能确保发射机的功率高效传输到天线,从而实现远距离、高质量的信号发射;在高速数字电路(如计算机内部的总线、高速接口等)中,阻抗匹配可以减少信号反射,避免信号间的串扰,保证数据传输的准确性和可靠性;在微波工程领域,各种微波器件(如滤波器、耦合器等)之间的连接也需要进行阻抗匹配,以实现微波信号的低损耗传输。
(二)面临的挑战
尽管阻抗匹配的理论和方法已较为成熟,但在实际应用中仍面临诸多挑战。首先是宽频带匹配问题,很多应用场景需要在较宽的频率范围内实现良好的阻抗匹配,而集总参数元件的特性通常与频率相关,这就需要设计复杂的匹配网络或者采用分布式参数元件(如传输线段)来实现宽频带匹配。
其次,在高速集成电路中,芯片内部的互连线也存在阻抗匹配问题。由于芯片内部空间狭小,传统的集总参数元件难以集成,因此需要采用特殊的设计方法,如优化互连线的几何结构、使用匹配网络的等效电路等,来实现芯片内部的阻抗匹配。
另外,制造工艺的偏差也会影响阻抗匹配的效果。在实际生产中,传输线的几何尺寸、介质参数等可能会与设计值存在偏差,这就需要在设计时考虑一定的容差范围,或者采用自适应匹配技术,根据实际测量的参数对匹配网络进行调整。
© 版权声明
文章版权归作者所有,未经允许请勿转载。
相关文章
没有相关内容!
暂无评论...